
자바라(원시인)가 사냥에서 실패, 또 실패
자바라는 3일 연속 사냥에서 실패했다. 자바라네 가족은 굶어서 정신이 없다. 나바바(자바라의 여자친구)도 자바라를 바라보는 눈빛에 실망감이 감돈다. 위기의 자바라에게 우리 동네 마트를 가르쳐 주고 싶지만....
첫째 날 사냥에서 실패, ‘새로운 사냥 장소라 그냥 운이 안 좋아서’ 라고 생각했다. 둘째 날 또 실패, (조금 불안했지만)‘몸 상태가 썩 안 좋아서’ 라고 생각했다. 셋째 날 또또 실패, ‘안 좋은 운 + 안 좋은 몸 상태 라면 얼마나 좋을까’ 라고 생각했다.
그러나 몸 상태는 멀쩡했고, 운도 그다지 나쁘지 않았다. 사냥 시작한 지 얼마 안 돼서 살이 통통 오른 사슴을 만났기 때문이다. 자바라의 머릿속에는 많은 생각이 들기 시작한다. 뭐가 잘못됐지? 남자 체면에 여친인 나바바에게 도움을 구할 수도 없고.... 자바라의 입에는 하루 종일 ‘젠장’이란 말말 빙빙 돌뿐이다. 나바바의 눈은 실망감을 넘어 분노로 휩싸여 있다.
오답은 왜 발생하나?
자바라가 3일 연속 실패한 이유는 과연 뭘까? 그 이유는 처음 사냥하는 순간부터 이미 발생했다. 숲에서의 사냥 경험이 없었던 자바라에게 기존 사냥법은 먹혀들지 않았다. 달리기가 엄청 빨라 사냥감을 열심히 쫓으면서 지치기를 기다려 그 순간 활로 쏘는 자바라의 사냥법, 이 방법은 평지가 아닌 숲에서는 힘든 방법이었다. 여기저기 나무와 수풀이 많아 달리기가 불가능했다.
그런데 자바라는 3일 내내 숲에서 사냥감을 쫓아다녔다. 이쯤 되면 자바라의 사냥 실패 이유는 바로 사냥 실패 원인을 분석·정리 하지 않았기 때문이다. 숲이라는 새로운 사냥터에서 자신의 실패를 분석하고 수정·보완하는 작업을 전혀 하지 않은 불쌍한 자바라! 사냥 실패처럼 수학에서는 오답이 발생한다.

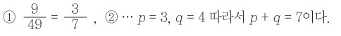
① 에서 무엇이 잘못됐을까? ② 에서는 또 무엇이 문제일까? ① 은 약분이 안 되는데, 마치 루트가 있는 것처럼 생각해서 약분을 했다. ②는 원래 문제에서 p2 + q2을 구하라고 했는데, 스스로 p + q 로 바꿔서 푼 것이다. 시험을 치른 후 채점을 하면 의외로 이러한 경우가 많다.
이렇듯 단순한 계산 실수부터 이론부족·잘못된 풀이 방법·문제의 출제단원 파악 실패·조건과 단서 누락·추가조건 발견실패·식의 생성 및 변형 실패, 심지어 시험울렁증도 오답발생의 주요한 원인이 된다. (수능 시험 막바지에 이르면 수학 이론적인 부분보다 시험울렁증으로 인한 불안함이 극도에 이른다.)
오답, 그 공포
첫째, 비슷한 문제에서 습관적으로 또 틀리게 된다. 오답이 발생했다는 것은 그 오답풀이에 자신이 익숙해있다는 사실이다. 앞서 본 자바라가 자신이 익숙한 기존 사냥법에 의지한 나머지 사냥을 연거푸 실패를 했다는 사실을 보면 이해가 쉽다. 둘째, 오답이 발생한 문제가 대다수 수험생이 틀리는 문제라면 이것은 등급을 결정지을 수 있는 변별력이 큰 문제다. 그 한 문제를 맞히면 등급이 오를 수도 있다는 것이다. 셋째, 모두가 맞추는 문제에서 오답이 발생했다면 이건 상상에 맡기겠다. 더 이상 말이 필요 없다.
오답정리, 거부할 수 없는 진실
오답정리가 필요 없다는 얘기부터 다양한 형태의 오답정리까지 혼란스러운 것이 현실이다. 그러나 오답정리는 반드시 필요하다. 오답정리에 관해 구체적으로 주의할 점을 살펴보자.
① 오답 노트를 만들어야 하는 시기 및 분량
수학 문제지에서 10문제를 풀었는데, 5문제를 틀렸다면 오답 노트를 만들어야 할까?
대답은 NO. 정답률이 50%라면 이론 학습이 많이 모자라다는 얘기다. 이 시기에 오답 노트를 만들면 배보다 배꼽이 크게 된다. 이론 학습을 더 하고, 해당 문제지를 2번 내지 3번 반복해서 풀어야 한다. 정답률이 70% 정도에 이르면 슬슬 준비할 필요가 있다. 오답 노트를 만드는 시기를 잘못 정하게 되면, 진도 나가기보다 오답 정리하다 세월을 다 보내게 된다. 당연히 오답 분량은 엄청나게 많아질 것이다. 오답 노트 정리 시기와 분량은 밀접한 관련을 가진다는 사실을 잘 인식하자.
② 오답 출처 및 오답 발생 이유
OO 문제지 24페이지 12번 문제, OO 모의고사 17번 문제 등 오답의 출처를 명확하게 기록해야 한다. 만약 평가원 모의고사 오답 문제와 일반 모의고사 오답이 있다고 할 때, 우선해서 봐야 하는 오답은 당연히 평가원 모의고사 오답이다. 그런데 그 출처를 표기 안하면 나중에 그 오답 문제를 볼 우선순위를 정할 때, 기준이 없게 된다.
오답이 생긴 이유는 구체적으로 자세히 써야 한다. 로그 성질을 몰라서 틀린 것은 아닌데, 그 문제는 로그 성질을 적용하는 문제. ‘로그 성질을 적용한 식 변형 실패’ 이렇게 표현이 가능하면 되는데, 그 표현이 생각과 달리 쉽지가 않다. 여기서 오답 정리에 필요한 수학 용어들이 필요하다. 따로 정해진 용어들이 없지만, 앞서 언급했던 ‘오답은 왜 발생하나 ?’ 부분을 참고하도록 하자.
③ 여백의 미
오답 정리할 때는 최대한 여백의 미를 살려 두어야 한다. 특히 한 문제 오답 정리가 끝나면 연이어 다른 오답 문제를 기록하면 안 되고 여분의 페이지를 비워 둬야 한다. 여러 번 문제지를 풀고 시험을 치는 가운데, 유사한 형태의 오답이 또 발생하면 기존 오답 문제에 덧붙여서 기록해야 한다. 그래야 유사 형태의 오답 그룹이 형성되어 정리하기가 쉽다.
오답정리, 또 보고 또 본다.
틀린 문제를 다시 보고 싶지 않은 심리, 오답 정리한 것으로 이미 해결됐다는 심리로 열심히 정리한 오답 노트를 안 보는 경우가 종종 있다. 그러면 다음에 또 틀리게 된다. 열심히 정리한 오답 노트 반복해서 보고, 각종 모의고사 보기 얼마 전부터는 꼼꼼히 체크하는 습관이 정말 중요하다. 아는 문제, 푼 문제는 잊어도 다음에 다시 풀 수 있다. 그러나 틀린 문제는 틀렸던 기억이 나도 다시 틀리게 된다. 이번 겨울, 오답 정리로 수리 영역을 완벽하게 다스리자.
[저작권자ⓒ 대학저널. 무단전재-재배포 금지]










































