매년 중앙대 2차 수시 일정이 수능 직후에 잡히는 까닭에, 중앙대를 지원하는 수험생들이 논술 대비에 곤란을 겪었다. 논술 능력이 일조일석에 향상되는 것은 아니나, 해당 학교의 고유한 출제 경향을 알고 시험에 임하는 것이 큰 도움을 주는 것도 분명하다. 그래서 이번 호에서는 2차 수시 시즌의 스타트를 끊는 중앙대 논술고사 문제를 분석 했다.
중앙대 2011학년도 모의 논술고사 문제에 대한 학교측 자료를 중심으로 살펴보도록 하자. 중앙대의 논술 유형은 여타 주요대학과 마찬가지로 고유한 안정감을 선보이고 있다. 2008학년도 수시 논술 문제 이후 두 개의 언어 논술 문제와 한 개의 자료 해석형 문제의 조합을 유지하고 있다. 학교측은 이 문제들의 완성도에 대한 자부심을 갖고 있는 듯하다.
수험생들에게 혼란을 주지 않으려는 각별한 의도 또한 숨기지 않는다. 따라서 중앙대를 지원하는 학생들은 최근 몇 년 기출문제를 세심히 검토하는 자세를 가져야 할 것이다. 특히 3번 문제는 두 개의 문제로 세분되는데, 수리적인 요소가 가미된 문제라 배점(30점)에 비해, 실질적인 영향력이 더욱 크다는 점을 기억해야 한다. 적지 않은 백지 답안들이 회수되었을 것이라 추측된다. 하나라도 답하지 않을 경우 합격권에서 멀어진다는 점을 잊어선 안 된다. 이런 유형의 논제는 난이도 조정이 쉽지 않다는 약점이 있다.
따라서 단순 계산만으로도 답할 수 있는 평이한 문제가 있는가 하면(2008학년도, 2009학년도), 복잡한 계산식을 요하는 까다로운 문제도 있을 수 있다(2010학년도). 전자의 경우엔 특별히 문제가 되지 않으나, 후자의 경우, 수학 교과지식을 전제로 하므로 수학 교과에 취약한 학생들은 괴로움을 겪을 것이다. 하지만 통합교과형 논술의 특성상, 미적분이나, 삼각함수, 지수·로그 등의 수학 본고사성 문제를 출제하긴 어려운 점이 있다. 그러니 순열과 조합, 확률과 통계 파트 정도만이라도 대략적이나마 기본 개념을 정리해보는 정도는 필요하다.
이 달의 미션
중앙대 2011학년도 모의 논술고사 문제로 연습해보자. 3개의 문제 중 어느 하나라도 답하지 않을 경우, 과락이 된다. 그러니 주어진 시간 안에 적당한 분량으로 모든 문제에 답할 수 있도록 사전에 가닥을 잡아주어야 한다.
논술고사 시간이 120분임을 감안하여야 한다. 그러니 문제당 40분 정도의 시간을 안배하고 답하도록 주의해야 한다. 중앙대 3번 문제는 수리 논술의 요소가 강한 만큼 백지 투항하는 경우도 많다. 다시 말하지만 하나라도 답하지 않으면 반드시 떨어지게 되니 포기하는 일이 없길 바란다.
■ 다음 글을 읽고 물음에 답하시오.
(가) 물어물어 처음 가본 손자의 대학은 민 노인에게 우선 크고 넓은 것의 시원함을 댓바람에 안겨 주었다. 거기에는 또, 좁은 구석을 맴도는 데만 익숙해진 자를 한꺼번에 위압하고 겁먹게 하는 바람이 불고도 있었다. 그런 세계와는 등지고 살아온 민 노인에게는 한결 그랬다. 서너 명의 친구들과 함께 미리 교문 근처에 기다리고 있던 성규는, 민 노인을 보자 손을 번쩍 들어 보였다. 그의 친구들은 한꺼번에 꾸뻑 절을 하더니 와 주셔서 고맙습니다를 합창했다. 영광이라고 말하는 녀석도 있었다. 연습장이라는 운동장 한구석에는, 더 많은 연희 출연자들이 제각각의 몸놀림으로 움직이고 있었다.
그들은 성규를 통해 얘기를 들었는지, 하던 짓을 멈추고 일제히 인사를 했다. 여학생도 적지 않은 수였다. 조금 떨어진 곳에 가서 성규로부터 대충의 줄거리에 대해 설명을 듣고, 종이에 따로 적은 과장(科場)을 훑어본 민 노인은 자기 역할이 결코 쉬운 일이 아님을 알았다. 성규의 어거지 성화에 밀려 온 꼴이기는 해도, 가볍게 떠맡고 나선 데 대해 조금은 후회도 되었다. 북을 끼고 둥둥 치면서 더 그랬다. 그런 한편으로 멀리 내던져 여간해서는 만나지 못할 것으로 여겼던 자기 체온이 듬뿍 스민 옷을 다시 걸쳐 입는 순간의 감동을 맛보기도 했다.
낯선 장면과 마주쳐 다소 어리벙벙하지 않은 건 아니었으나 빽빽 소리를 질러 대며 팔과 다리를 흥겹게 올리고 내려놓는 아이들과, 따지고 보면 북가락의 이웃 동네인 꽹과리나 피리 소리에 섞여 팔에 힘을 모아 북을 두드리는 동안, 그런 무색함은 서서히 사라져 갔다. 그래서였을 것이다. 민 노인은 하루 연습만으로는 실력이 부쳐 안 되겠다며 며칠 더 나올 것을 자청했고, 그러자 아이들은 환영의 박수를 쳤다. 연습이 끝나고 막걸리 집으로 옮겨 갔을 때도, 아이들은 민 노인을 에워싸고 역시 성규 할아버지의 북소리는 우리 같은 졸개들이 도저히 흉내 낼 수 없는 명인의 경지라고 추어올렸다.
그것이 입에 발린 칭찬일지라도, 민 노인으로서는 듣기 싫지 않았다. 잊어버렸던 세월을 되일으켜 주는 말이기도 했다. 일찍 점심을 먹고, 여느 날의 걸음걸이로 집을 나선 민 노인은, 이에 어울리지 않는 설렘으로 흔들렸다. 아직은 눈치를 채지 못한 아들 내외에 대한 심적 부담보다는, 자기가 맡은 일 때문이었다. 수십 명의 아이들이 어우러져 돌아가는 춤판에 영감쟁이 하나가 낀다는 사실이, 새삼스럽게 어색하기도 하고, 모처럼의 북가락이 그런 모양으로밖에는 선보일 수 없다는 데 대한, 엷은 적막감도 씻어 내기 힘들었다. 그러나 젊은 훈김들이 뿜어내는 학교 마당에 서자 그런 머뭇거림은 가당찮은 것으로 치부되었다.
시간이 되어 옷을 갈아입고 아이들 속에 섞여 원진(圓陣)을 이루고 있는 구경꾼들을 대하자, 그런 생각들은 어디론지 녹아 내렸다. 그 구경꾼들의 눈이 자기에게 쏠리는 것도 자신이 거쳐 온 어느 날의 한 대목으로 치면 그만이었다. 노장(老長)이 나오고 취발이가 등장하는가하면, 목중들이 춤을 추며 걸쭉한 음담패설 등을 쏟아 놓을 때마다, 관중들은 까르르 웃었다.
민 노인의 북은 요긴한 대목에서 둥둥 울렸다. 깨지는 소리를 내는 꽹과리며 장구에 파묻혀 제값을 하지는 못해도, 민 노인에게는 전혀 괘념할 일이 아니었다. 그 전에도 그랬던 것처럼, 공연 전에 마신 술기운도 가세하여, 탈바가지들의 손끝과 발목에 한 치의 오차도 없이 그의 북소리는 턱 턱 꽂혔다. 그새 입에서는 얼씨구! 소리도 적시에 흘러나왔다. 아무 생각이 없었다. 가락과 소리와, 그것을 전체적으로 휩싸는 달착지근한 장단에 자신을 내맡기고 있었다.
(나) 민중 축제의 오락에 나타난 필수 불가결한 계기들 중의 하나는 변장(變裝), 즉 자기의 사회적 이미지와 의상(衣裳)을 갱신하는 것이다. 또 다른 본질적인 계기는 상부에서 하부로 위계질서를 전환하는 것이다. 어릿광대를 임금이라 선포하고, <바보제>에서 우스꽝스러운 수도원장, 주교, 대주교를 선출하며, 교황 직속 교회에서는 심지어 우스꽝스러운 교황조차 선출한다. 이러한 우스꽝스러운 위계질서들을 통해 장엄한 미사들을 드리기도 한다.
예를 들어, <콩알 임금 축제>와 <성 발렌타인 축제>와 같은 수많은 축제들에서는 일시적인 왕과 왕비들을 반드시 선출하고 있었다. 그러한 일시적인 왕들을 선출하는 것은 특히 프랑스에서 확산되고 있는데, 그곳에서는 거의 모든 일상 연회에서 왕과 왕비를 뽑곤 했다. 옷을 거꾸로 입고 바지를 머리에 뒤집어쓰는 것에서부터, 우스꽝스러운 왕과 교황을 선출하는 것에 이르기까지 동일한 위상적 논리가 적용되고 있었다. 상부를 하부로 자리바꿈시키는 것이며, 고상한 옛것-기존하는 완성된 것-을 죽음과 새로운 탄생을 위해 물질적ㆍ육체적 지옥으로 던져 버리는 것이다.
(다)‘국민(nation)’이라는 용어는 이미 대혁명 이전부터 사용되어 오던 것이다. 17세기 얀세니스트(Jansenist)의 설교에서부터 18세기 루소의 정치사상에 이르기까지 국민이라는 용어는 명확하게 정의되지 않은 채 흔히 사용되었다. 이후 국민에 관한 담론이 더욱 활성화되어 혁명 전야인 1780년대에 이르면 그 용어는 상징적 힘을 가진 정치문화 담론의 키워드로 부상하기에 이르고, 혁명 직후 그것은 조국이나 애국ㆍ자유ㆍ공화국 등과 더불어 정치적 논쟁의 핵심이 된다. 하지만 아이러니하게도 논쟁을 거듭하면 거듭할수록 더욱 분명해진 것은‘프랑스에 국민이 존재하지 않는다’는 사실이었다.
그렇다면 이제 과제는 분명하다. 프랑스에 존재하진 않지만 새로운 시대를 열어가기 위해 필요한 그 국민이라는 실체를 만드는 것이다. 구체제 하에서 프랑스인을 구성했던 요소들은 새로운 국민을 형성하는 데 오히려 방해만 될 뿐이었다. 지역적 방대함에 기인하는 문화적 다양성과 종교적 심성, 조합이나 단체에 대한 귀속의식, 왕에 대한 뿌리 깊은 애정 등이 그러하다. 새로운 시대가 요구하는 국민은 주권의식을 가진 공화주의 시민이다.
이에 혁명정부는 구체제 프랑스인들의 낡은 의식을 척결하고 새로운 국민 정체성을 확립하기 위해 야심찬‘국민 만들기’문화 정책을 시도하였다. 국민을 만들기 위한 혁명가들의 노력은 존경스러울 정도였다. 공교육위원회를 중심으로 모든 혁명가들이 이 문제에 매달렸다. 어떻게 하면 공화주의적인 국민 정체성을 형성할 수 있을 것인가? 학교와 군대, 민중협회, 저널, 수많은 정치적 상징물과 박물관 등 다양한 수단들이 고려되었다. 하지만 가장 효과적인 것은‘축제’였다. 왜냐하면 축제는 인간의 지성보다는 감성에 호소하는 것으로 조국과 공화정에 대한 열정적 감정을 고양시키기에 적절했기 때문이다.
국민 의식을 고양시키기 위해서는 지적 교육보다는 반복적인 제스처나 새로운 이미지를 통해 감각에 충격을 가하는 것이 더욱 효과적인 방법인데, 그 제스처와 이미지를 풍부하게 제시하고 실행할 수 있는 무대가 바로 축제이다. 카바니는“인간은 엄격한 논리와 합리적 이성 못지않게 열정과 감수성에 의해 좌우되기 때문에 그들을 형제애와 조국애에 기반한 국민으로 만들기 위해서는 축제가 필요하다”고 말하였다. ‘국민적대축제’를 주장했던 로베스피에르를 비롯해 대부분의 혁명가들이 단기간에 국민을 형성할 수 있는 가장 효과적인 수단을 축제라고 확신하고 있었다.
(라) 사육제는 즐거움을 누리거나, 재미있는 이야기, 또는 외설스러운 이야기를 나누는 기회로 간주되기도 한다. 즉, 평소에는 사회적 금기로 여겨졌던 것들(사제 조롱하기, 신성 모독, 과격한 말과 행위, 외설적인 성적 농담 등)의 일시적 해제가 일어나게 되는 것이다. 카니발이라는 시간은 본래 일상생활의 흐름을 단절하고 평소에 금기시 되었던 것이 일시적으로 용인되는 시기이면서 동시에 비생산성과 죽음을 상징하는 겨울이 지나고 생산과 삶을 상징하는 봄의 도래를 맞이하는 시기이기도 하다.
전통적 의미의 카니발은 기존의 기독교적인 권위에 저항할 수 있는 의례적인 통로로서의 기능과 동시에 당시의 절대적인 권위를 더욱 공고히 하는 데 기여하기도 하였다. 일반 민중들은 카니발을 통해서 억압된 욕구를 발산하고 다시 규범적인 엄격한 사회 속에서 자신의 삶을 이어나갈 수 있었던 것이다. 아프리카 의례 분석에서 글루크먼이 말한‘반란의 의례’가 여기에 해당된다.
즉, 왕을 비롯한 기존의 지배세력이 기존 체제에 반감을 가진 피지배민들로 하여금 특정한 의례 상황 속에서 평소의 불만을 표현할 수 있는 기회를 제공하면서 그들의 불만이 실제적인 사회 위협 요소로 증폭되는 것을 사전에 방지한다는 것이다.
(마) 현대 사회로 들어서면서 전통 사회가 갖고 있던 축제의 기반은 붕괴되었다. 합리화, 기능화, 효율화는 현대 생활의 가치이자 덕목이지만 축제의 적이기도 하다. 거기다가 개인화와 매스컴의 범람도 축제의 주역이었던 적극적인 마을 사람들(민중ㆍ공동체 구성원)을 수동적인 자리로 물러나 앉게 만들어 버렸다. 오락 산업이 엔터테이너들을 전면으로 내세워 놓을 뿐만 아니라 조작된 자유 시간을 만들어 내어 민중은 단순한 관객이 되거나 청중으로 몰락한다.
문화 기층의 축제가 지녔던 종교적 의미, 그 거룩함과 장난스러움의 오묘한 상관관계가 하나로 통합되던 바탕도 즐거움을 좇는 세속화된 축제의 집행과 오락성 때문에 원래의 빛이 바래 버렸다. 자연의 리듬을 탔던 전통사회의 아름다운 신화와 역사를 극화시켜 그것을 환상적으로 재현하고 재연했던 지난날의 민중의 잔치들은 문화적으로 오염된 환경 때문에 그 명맥을 유지하기도 힘든 것이 오늘날의 상황이다.
(바) 지금보다 더 행복한 시절에 우리는 인간이란 종족을‘생각하는 인간(homo sapiens)’이라고 부른 적이 있었다. 그러나 시간이 지나면서 인간이 그렇게 이성적이라고 믿을 수 없게 되었다. 현대에 와서 인간을‘만드는 인간(homo faber)’으로 지칭하는 경향이 높아졌다. 다른 많은 동물들도 어떤 것을‘만든다는 것’을 감안하면 파버(faber)는 인간에게만 국한된 것이라고 보기에는 오히려 부적당하다는 느낌마저 든다. 인간이나 동물에게 다 같이 적용할 수 있으면서도, 생각하는 것이나 만드는 것만큼 중요한 제3의 기능이 있으니, 이것이‘놀이하는 것’이다. 만드는 인간과 이웃하는, 그러나 생각하는 인간과는 같은 차원에 속하는 술어로서 취급해야 할 것이‘놀이하는 인간(homo ludens)’이다.
놀이는 순수한 생리 현상이나 심리적 반사 작용 이상의 것이다. 놀이는 순수한 물리적 또는 순수한 생물학적 행위의 한계를 넘어선 것이다. 놀이는 하나의 의미 기능이다. 즉 놀이에는 뜻이 있다는 말이다. 놀이 속에는 생활의 직접적인 욕구를 초월하고 동시에 생활 행위에 의미를 부여하는, ‘놀고 있는(at play)’어떤 것이 있다. 놀이의 본질을 이루고 있는 역동적인 원칙을 단지‘본능’이라고 말해 버린다면, 아무 설명도 되지 못한다. 반면 이것을 ‘정신’이나 ‘의지’라고 규정하는 것 역시 지나친 일이 된다.
인간에게 놀이가 있다는 사실이야말로 계속 우주 속에서 인간이 점유한 실존적 위치의 초논리적 특성을 확인시켜 주는 것이다. 동물은 논다. 그러므로 틀림없이 동물은 기계적인 물체 이상이다. 인간은 놀며, 논다는 사실을 안다. 그러므로 분명 인간은 이성적 존재 이상이다. 왜냐하면 놀이란 비이성적인 것이기 때문이다.
[문제 1] 축제의 사회적 기능이라는 관점에서 제시문 (가), (나), (다), (라)의 논지의 차이점을 논술하시오. [30점, 500~550자(답안지 20~22줄) 사이]
[문제 2] 제시문 (마)에 나타난 현대 축제의 문제점을 제시문 (가)의 관점에서 지적하고, 이를 극복할 수 있는 방안을 제시문 (다), (바)의 논지를 통합적으로 고려하여 논술하시오. [40점, 500~550자(답안지 20~22줄) 사이]
[문제 3] 올림픽은 세계인의 스포츠 축제를 넘어, 세계시장에서 한 국가의 글로벌 브랜드 가치를 제고하는 무대로 자리 잡고 있다. 올림픽의 경제적 가치와 효과를 분석하기 위하여, 세계 주요 16개국이 획득한 총 메달 수와 해당 국가의 국가 브랜드 지수를 조사했다. 이 자료에 대한 요약값들은 다음과 같다고 한다. (단, 요약값들은 소수점 첫째 자리에서 반올림하였음)

[3-1] 총 메달 수가 20개인 A국의 메달 획득 순위와 국가 브랜드 지수가 60점인 B국의 국가 브랜드 지수 순위를 표준편차 단위를 사용하여 비교하시오. [답안지 10줄 이내로 자유롭게 쓸 것, 15점]
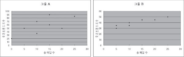
[3-2] 아래의 표는 16개국을 어떤 기준에 의하여 그룹 A와 그룹 B로 8개국씩 나누어 총 메달 수와 국가 브랜드 지수를 정리한 것이다. 이 자료에 근거하여 총 메달 수와 국가 브랜드 지수 사이의 상관관계가 어느 그룹에서 더 강하게 나타나는지를 설명하시오. [답안지 10줄 이내로 자유롭게 쓸 것, 15점]

논제 해설
[문제 1] 이 문제는 축제와 관련된 여러 제시문을 정확하게 읽고 각각의 요지를 이해하고, 그것을 자신의 언어로 정리·요약하는 종합적인 사고 능력을 평가하기 위한 것이다. 자신의 언어로 정리·요약하라는 의미는 제시문에 기술된 문장을 그대로 인용하는 것이 아니라, 제시문의 의미와 견해를 충분히 소화하여 자신의 표현 방식으로 기술하라는 것이다. 500~550자의 논제 분량과 제시문의 개수를 고려할 때, 다각도의 비교는 곤란한 점이 있다. 그러니 각 제시문의 핵심 논지를 부각하여 분명한 차이가 드러나게끔 서술하는 것이 필요하다.
두 개의 제시문을 비교하는 논제와는 다른 접근이 필요하다는 점을 명심해야 한다. 하지만 이렇게 개별 제시문들을 요약하는 것으로 끝나선 안 된다. 글의 결론 부분에서 축제가 갖는 기능을 종합적으로 고려하여 맺어주는 글이 필요하다. 즉 축제의 기능을 민중들과 지배 권력의 입장으로 양분하여 정리해주는 마무리가 필요하다.
[예시답안]
제시문 (가)의 민 노인의 북소리는 일상의 삶에 신명나는 리듬감을 부여하는 활력소이자 세대 간의 벽을 허물고 공동체적 연대감을 강화시켜 주는 역할을 한다. 제시문 (나)의 카니발은 기존의 사회적, 정치적 위계 질서와 가치 체계를 뒤집음으로써 규범으로 억압된 사회에 균열을 내고, 민중에게 일시적인 자유와 방종을 용인하는 의례적인 통로이다. 제시문 (다)는 새로운 국민 정체성을 확립하기 위해 국가가 추진하는 문화 기획이 축제에 부여된 이데올로기적 기능이라고 주장한다. 국민의식을 단기간에 고양하기 위해서는 축제만큼 효과적인 수단이 없다는 것이다. 제시문 (라)의 축제의 기능은 이중적이다. 축제는 민중들이 사회적 금기로부터 해방감을 만끽하며 잠재된 저항의 욕구를 발산할 수 있는 의례적인 해방구이자 이렇게 일시적으로 반감을 배설하고 불만을 해소함으로써 다시 기존 체제의 권위에 편입되게 만드는‘반란의 의례’이다. 결론적으로 민중의 편에서 축제는 연대를 촉발하고 금기의 해제가 일어나는 해방구라면, 지배세력의 입장에서 축제는 국민의식을 형성하고 체제를 유지하기 위한 문화적 전략이다.
[문제 2] 이 문제에 답하기 위해서는, 논제의 엄격한 지시사항을 낱낱이 구분하여 정확히 이해하는 것이 필요하다. ‘제시문 (마)에 나타난 현대 축제의 문제점을 제시문 (가)의 관점에서 지적하라’고 했으므로, (가)와 (마) 두 제시문을 대비하여 읽고, (가)에 나타난 축제의 긍정적인 측면을 추출하는 것이 필요하다. 민 노인과 학생들의 주체적인 참여와 참여과정에서 느끼는 생생한 현장감, 희열 등을 읽어내야 하는 것이다. 이런 관점에서 볼 때, (마)에 나타난 현대 축제의 문제점은, 공동체의 구성원들이 한낱 수동적인 관객의 차원으로 전락한 것이라는 점을 말할 수 있겠다. 다음으로 (다)와 (바)의 논지를 압축적으로 기술한 다음, 이를 바탕으로 하여, 앞서 제시한 문제점을 극복할 수 있는 방안을 제시해야 할 것이다. (다)에선 축제를 의식적으로 활용하여 공동체 의식의 강화에 도움을 줄 수 있다는 점을 지적해야 하고, (바)에선 놀이 자체를 즐기는 특성이 인간 존재의 본질이라는 점을 말할 수 있어야 한다. 극복 방안엔 다양한 창의적 답변이 가능하겠으나, 이런 요소를 모두 포함한 것이라야 할 것이다.
[예시답안]
제시문 (가)의 관점에서 볼 때 제시문 (마)에 나타난 현대 축제의 문제점으로 축제의 주역이었던 공동체의 구성원이 축제의 수동적인 구경꾼으로 전락해 버리면서 민중의 잔치가 퇴색해 버렸다는 점을 들 수 있다. 현대 축제의 문제점을 극복하기 위해서는 애초에 축제가 지녔던 공동체 의식의 강화라는 기능을 회복해야 하며, 자발적인 놀이의 본성을 개개인에게 일깨워야 한다. 프랑스 혁명 정부는 축제를 국민의 정체성을 확립하는‘국민 만들기’ 문화정책의 일환으로 활용한 바 있는데, 우리의 경우 정부 주도 하에 이루어진 것은 아니었지만 2002 월드컵 당시의 스포츠 축제가 공동체 의식의 강화에 기여했었다. 이렇게 축제는 공동체 의식의 강화에 기여할 수도 있지만, 그에 못지않게 중요한 것이 축제의 참여자가 자발적인 주체의식을 가지고 놀 줄 알아야 한다는 것이다. 촛불집회가 자발적인 축제의 성격을 지녔던 것을 예로 들 수 있다. 놀이는 인간의 실존적 본성을 결정짓는 초논리적 요소이다. 절로 흥에 겨워 놀 줄 알 때 공동체의 구성원은 다시 축제의 자발적 주체가 될 수 있을 것이다.
[문제 3] 이 문제는 올림픽과 관련된 가상의 자료인 총 메달 수와 해당 국가의 국가 브랜드 지수를 이용하여, 우리가 주변에서 흔히 접하게 되는 통계적 용어에 대한 개념을 잘 이해하고 있는지를 평가한다. [3-1]은 단위가 서로 다른 자료를 비교하기 위하여 표준편차를 사용할 수 있는지를 평가하고 있으며, [3-2]는 간단한 자료를 도식화하고 이를 통하여 상관관계의 강약에 대한 개념을 도입할 수 있는지를 평가한다. 상관관계를 확인하기 위해서는 간단한 그래프를 활용하는 것이 좋겠다. 아래 예시답안을 면밀히 검토하기 바란다.
[3-1예시답안]
(표현 1)
총 메달 수가 20개인 A국의 메달 획득 순위는 평균 13개보다 7개 많다. 즉, 1단위의 표준편차만큼 많다. 반면, 국가 브랜드 지수가 60점인 B국의 국가 브랜드 지수 순위는 평균 48점보다 12점 높다. 즉, 약 0.63 단위의 표준편차만큼 높다. 따라서, 표준편차 단위를 사용할 경우, A국이 B국보다 더 높은 위치에 있다고 볼 수 있다. (표현 2) - 표준편차 단위를 사용한 A국의 (메달 획득) 순위 = (20-13) / 7 = 1 - 표준편차 단위를 사용한 B국의 (국가 브랜드 지수) 순위 = (60-48) / 19 < 1 따라서, 표준편차 단위를 사용할 경우, A국이 B국보다 더 높은 위치에 있다고 볼 수 있다.
[3-2예시답안] 그룹 A와 그룹 B의 총 메달 수와 국가 브랜드 지수 사이의 상관관계를 비교하기 위해서는, 이차원 좌표평면에 자료를 표시(도표화)해 보는 것이 편리하다. 각 그룹에 대한 자료를 좌표평면에 표시하면 다음과 같다.

위의 좌표평면에 표시된 자료를 보면, 그룹 B가 그룹 A보다 직선주위에 자료가 더 몰려 있다는 것을 볼 수 있다. 이는 그룹 B가 총 메달 수와 국가 브랜드 지수 간에 더 강한 상관관계를 가지고 있음을 보여준다고 할 수 있다.
[저작권자ⓒ 대학저널. 무단전재-재배포 금지]









































